| Title: | Spectra and photographic magnitudes of 3340 stars in Perseus |
| Authors: | Brodskaya E.S., Shajn P.F. |
| Abstract: |
The spectral types and photographic magnitudes of 3340 stars brighter than 12m,5 were determined in an area of about 45 square degrees with the center a1950 = 02h30m, d1950 = +58o00'. For О, B, A and F stars the colour indices were also found. The photographic magnitudes and color indices were reduced to the (В, V) system. |
| Keywords: | Stars; Photometry; Spectral types |
| Publication: | Izvestiya Krymskoj Astrofizicheskoj Observatorii (IzKry). - 1958. - V. 20. - P.299. |
| Comments: | Tab. 1. Ref. 5. Id.Map 8. |
| Bib.Code: | 1958IzKry..20..299B |
| Full-text: | PDF (5.5 MbB); GIF (300 kB) |
1. 1955IzKry..14....3B E.S. Brodskaya. IzKry, 14, 1955. 2. 1955ApJ..122...429J H.L. Johnson a. W.W. Morgan. Ap. J., 122, 429, 1955. 3. 1937AnLei..17A...1O P.Th. Oosterhoff. Leiden Ann., 17, N 1, 1937. 4. 1956ApJS....2..389H W.A. Hiltner. Ap. J. Suppl., 2, N 24, 1956. 5. 1955ApJ..122...434B V.M. Blanco. Ap. J., 122, 434, 1955.
|
Description Summary ReadMe Identification Map Figure 1 - 8 in fits and ajs formats. Digital Plates Archive: JPG AJS FITS |
Examples: BD+58 487; 02 34 37.9 +59 22 41, or other identifier and format of coordinates used in SIMBAD. |
Full catalogue: - HTML (cw, nw); - VOTABLE; - DATA (nw, Note). Full catalogue with: - ALADIN; - path for ALADIN desktop; - SIMBAD; - VizieR. Full catalogue publication: - GIF (cw, nw, zip) [11 Mb]; - PDF (cw, nw) [4.2 Mb]. |

The distribution of the B magnitude of objects in the B-1958 catalogue.

The distribution of the V magnitude of objects in the B-1958 catalogue.

The distribution of the spectral classes of objects in the B-1958 catalogue.

Comparison of the B magnitude between B-1958 catalogue and SIMBAD.

Comparison of the V magnitude between B-1958 catalogue and SIMBAD.

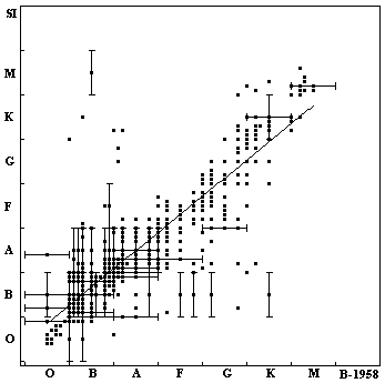
Comparison of the spectral classes between B-1958 catalogue and SIMBAD.